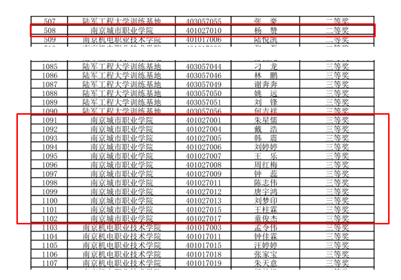
2023年5月27日,江苏省高等学校第二十届高等数学竞赛如期举办,6月5日,在江苏省高等学校数学教学研究会网站对获奖学生进行了公示,根据竞赛组委会公布的赛果,我校智能工程学院荣获1个二等奖、12个三等奖。
此项比赛是由江苏省教育厅批准,江苏省高等数学教学研究会主办,南京工业大学浦江学院承办,是江苏省高等院校层次最高、参与最广泛、影响最大的大学生学科竞赛活动之一。我院非常重视此项赛事,在院领导的大力支持下,教研室主任戴志娟认真筹划组织,并与郭宜彬、宋彩虹、陈丽娜老师利用中午、晚自习时间对参赛学生进行悉心辅导。通过培训辅导,参赛学生努力拼搏,最终取得了优异成绩。此次优异成绩的取得,反映了我校高等数学课程建设和改革取得的成效,激发和提高了学生的学习积极性。
供稿:智能工程学院
文字:宋彩虹
图片:智能工程学院





